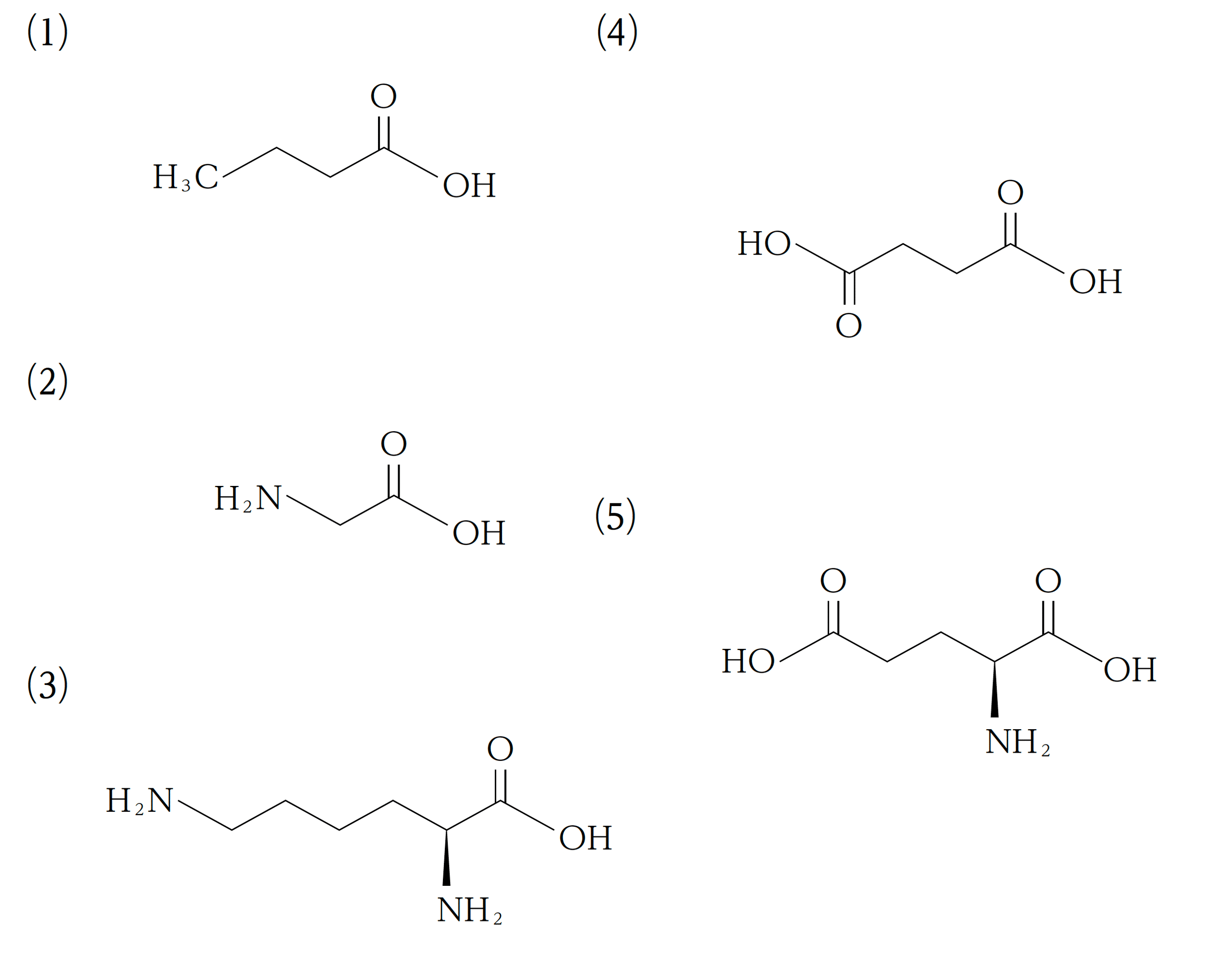
39-47 精白米の第一制限アミノ酸は、塩基性であり、アミノカルボニル反応が生じやすい。このアミノ酸の構造式として、最も適当なのはどれか。1つ選べ。

厚生労働省. 『第39回管理栄養士国家試験の問題(午前の部)』(2025) .
https://www.mhlw.go.jp/content/10900000/001428960.pdf, (2025年4月8日閲覧)
スポンサーリンク
39-47 精白米の第一制限アミノ酸は、塩基性であり、アミノカルボニル反応が生じやすい。このアミノ酸の構造式として、最も適当なのはどれか。1つ選べ。

厚生労働省. 『第39回管理栄養士国家試験の問題(午前の部)』(2025) .
https://www.mhlw.go.jp/content/10900000/001428960.pdf, (2025年4月8日閲覧)