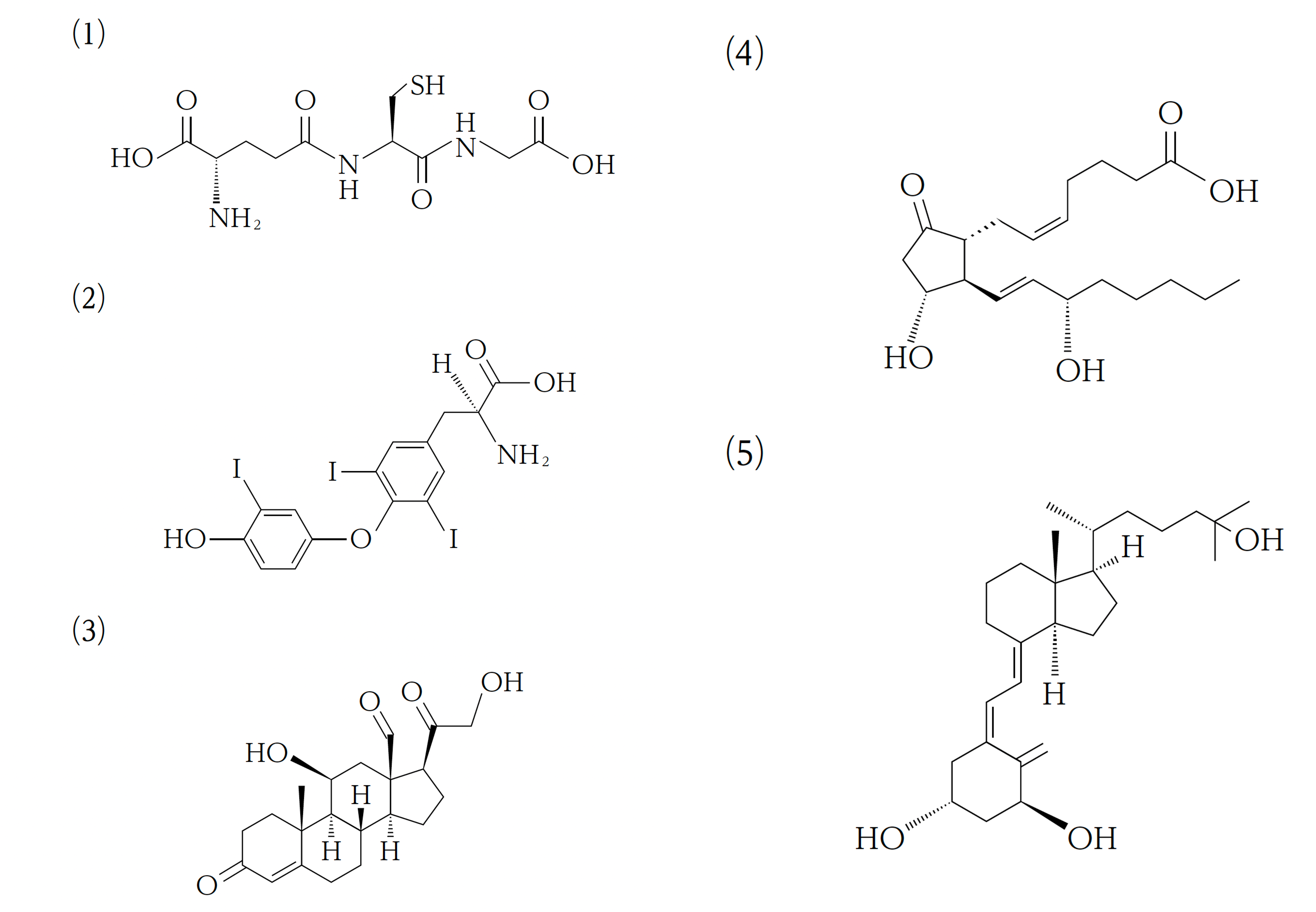
40-18 ペプチド結合は、生理活性物質の構造や機能を理解する上で重要である。
ペプチド結合を有する生理活性物質として、最も適当なのはどれか。1つ選べ。

厚生労働省. 『第40回管理栄養士国家試験の問題(午前の部)』(2026) .
https://www.mhlw.go.jp/content/10900000/001663681.pdf, (2026年3月3日閲覧)
スポンサーリンク
40-18 ペプチド結合は、生理活性物質の構造や機能を理解する上で重要である。
ペプチド結合を有する生理活性物質として、最も適当なのはどれか。1つ選べ。

厚生労働省. 『第40回管理栄養士国家試験の問題(午前の部)』(2026) .
https://www.mhlw.go.jp/content/10900000/001663681.pdf, (2026年3月3日閲覧)